qp_solve — linear quadratic programming solver builtin
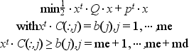
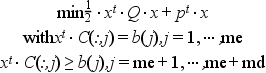
[x [,iact [,iter [,f]]]]=qp_solve(Q,p1,C1,b,me)
real positive definite symmetric matrix (dimension n
x n).
real (column) vector (dimension n)
real matrix (dimension (me + md) x n).
This matrix may be dense or sparse.
RHS column vector (dimension m=(me +
md))
number of equality constraints (i.e. x'*C(:,1:me) =
b(1:me)')
optimal solution found.
vector, indicator of active constraints. The first non zero entries give the index of the active constraints
2x1 vector, first component gives the number of "main" iterations, the second one says how many constraints were deleted after they became active.

This function requires Q to be symmetric positive
definite. If this hypothesis is not satisfied, one may use the contributed
quapro toolbox.
// Find x in R^6 such that:
// x'*C1 = b1 (3 equality constraints i.e me=3)
C1= [ 1,-1, 2;
-1, 0, 5;
1,-3, 3;
0,-4, 0;
3, 5, 1;
1, 6, 0];
b1=[1;2;3];
// x'*C2 >= b2 (2 inequality constraints)
C2= [ 0 ,1;
-1, 0;
0,-2;
-1,-1;
-2,-1;
1, 0];
b2=[ 1;-2.5];
// and minimize 0.5*x'*Q*x - p'*x with
p=[-1;-2;-3;-4;-5;-6]; Q=eye(6,6);
me=3;
[x,iact,iter,f]=qp_solve(Q,p,[C1 C2],[b1;b2],me)
// Only linear constraints (1 to 4) are active
The contributed toolbox "quapro" may also be of interest, in
particular for singular Q.
Let r be
r=min(m,n)
Then the memory required by qp_solve during the computations is
2*n+r*(r+5)/2 + 2*m +1
INRIA (Scilab interface)
School of Mathematics and Statistics (M019), The University of Western Australia, Crawley, AUSTRALIA (solver code)
Goldfarb, D. and Idnani, A. (1982). "Dual and Primal-Dual Methods for Solving Strictly Convex Quadratic Programs", in J.P. Hennart (ed.), Numerical Analysis, Proceedings, Cocoyoc, Mexico 1981, Vol. 909 of Lecture Notes in Mathematics, Springer-Verlag, Berlin, pp. 226-239.
Goldfarb, D. and Idnani, A. (1983). "A numerically stable dual method for solving strictly convex quadratic programs", Mathematical Programming 27: 1-33.
QuadProg (Quadratic Programming Routines), Berwin A Turlach,http://www.maths.uwa.edu.au/~berwin/software/quadprog.html